| 일 | 월 | 화 | 수 | 목 | 금 | 토 |
|---|---|---|---|---|---|---|
| 1 | 2 | 3 | 4 | 5 | 6 | |
| 7 | 8 | 9 | 10 | 11 | 12 | 13 |
| 14 | 15 | 16 | 17 | 18 | 19 | 20 |
| 21 | 22 | 23 | 24 | 25 | 26 | 27 |
| 28 | 29 | 30 | 31 |
- Basic
- 후위
- 문자열
- #선물 #비트코인#알트코인#매매#코인#마진
- Tree
- array
- trading view
- template
- Python
- 기초
- 전위
- Windows
- 템플릿 함수화
- linked list
- 오버로딩
- 이진 탐색 트리
- 바이낸스
- 순회
- mutable
- 트리
- BST
- 알고리즘
- SCM
- 숫자
- 연결 리스트
- 선물
- C++
- 자료구조
- 비트코인
- Data Structure
- Today
- Total
Project Hub
[Data Structure] B-Tree 구현 - 탐색, 삽입(1) 본문
B-Tree 의 기초 개념은 아래에서 확인하면 된다.
2022.09.11 - [Data Structure/Tree] - [Data Structure] B-Tree 기초
[Data Structure] B-Tree 기초
트리 기본 용어에 관하여는 아래의 글을 참고. 2022.08.27 - [Data Structure/Tree] - [Data Structure] Tree 기본 [Data Structure] Tree 기본 트리의 개념 비선형 자료구조 계층적 관계를 표현하는 자료구조 트..
projecthub.tistory.com
이번에는 B-Tree 의 탐색과정과 노드 추가 과정을 코드로 구현해보려고 한다.
B-Tree 도 역시 클래스를 이용하여 구현하였다.
B-Tree 헤더 파일
- 기본적으로 b-tree 구조체와 클래스, 클래스 맴버 함수 등을 선언해 놓은 파일이다.
- BTREE_ERROR_CODE_DEFIE 이라는 enum 변수는 에러 처리를 위해 추가한 내용이다.
- BTREE 구조체에는 다음과 같은 값이 정의되어 있다.
- iData[]: 숫자를 저장 할 배열. 노드에 저장되는 값을 의미한다.
- pChild[]: 해당 노드의 자식 노드 배열
- bIsLeaf: leaf node 여부
- iDataCnt: 해당 노드에 저장된 데이터의 수
- iChildCnt: 해당 노드의 자식 노드 수
#pragma once
#include <stdio.h>
#include <string.h>
#include <malloc.h>
#include <math.h>
// b-tree 차수
#define BTREE_DEGREE 3
// b-tree 노드의 최대 데이터 개수
#define BTREE_MAX_KEY BTREE_DEGREE - 1
// b-tree root node 와 leaf node를 제외한 모든 노드의 최대 개수
#define BTREE_MAX_CHILD BTREE_DEGREE
// b-tree 노드의 최소 데이터 개수
#define BTREE_MIN_KEY (int)(floor(BTREE_DEGREE / 2.0) - 1)
enum BTREE_ERROR_CODE_DEFINE
{
BTREE_SUCCESS = 0,
BTREE_FUNCTION_FAIL,
BTREE_MEMORY_ALLOC_FAIL
};
// b-tree 노드 구조체
struct BTREE
{
// node의 데이터 배열
int iData[BTREE_MAX_KEY + 1];
// node의 자녀 포인터 배열
BTREE* pChild[BTREE_MAX_CHILD + 1];
// leaf 노드 여부
bool bIsLeaf;
// Data 개수
int iDataCnt;
// 자식 노드 개수
int iChildCnt;
};
class CBTree
{
public:
CBTree();
~CBTree();
public:
void PrintTree(BTREE** pNode, int iNum);
void Print();
int Insert(int iData);
int SortData(BTREE* pNode);
BTREE* SearchBTree(BTREE* pNode, int iData, BTREE* pParentNode);
BTREE* AddNode(BTREE* pNode, BTREE* pParentNode, int iData);
BTREE* SplitNode(BTREE* pNode, BTREE* pParentNode);
private:
BTREE* m_Root;
};
B-Tree 탐색
- BST의 탐색 과정과 유사하다.
- 최상위 노드의 데이터부터 비교하여 진행한다.
- 탐색하려는 값이 현재 노드의 값 보다 작을 경우, 왼쪽 서브 트리를 탐색한다.
- 탐색하려는 값이 현재 노드의 값 보다 클 경우, 오른쪽 서브 트리를 탐색한다.
2022.09.05 - [Data Structure/Tree] - [Data Structure] Tree 이진 탐색 트리(BST) 구현
[Data Structure] Tree 이진 탐색 트리(BST) 구현
트리의 기본 개념을 확인하려면 아래의 글 참조 2022.08.27 - [Data Structure/Tree] - [Data Structure] Tree 기본 [Data Structure] Tree 기본 트리의 개념 비선형 자료구조 계층적 관계를 표현하는 자료구조 트..
projecthub.tistory.com
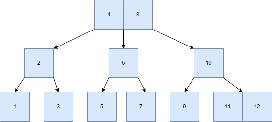
탐색 과정의 예시를 보이자면, 아래와 같다.
우선, 탐색하고자 하는 값은 '9' 다.
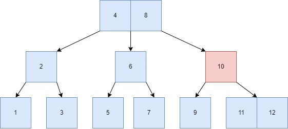
1. 먼저 루트 노드에서부터 시작을 한다. 루트 노드의 4, 8 값과 비교를 한다.

2. 9 는 8 보다 크기 때문에 루트 노드의 오른쪽 서브 트리로 이동한다.

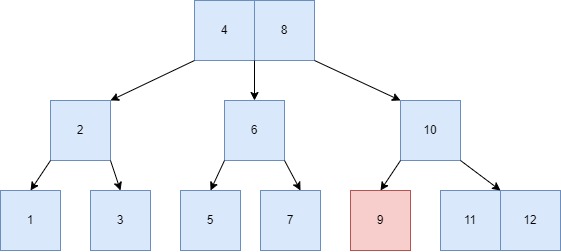
3. 이동한 노드의 값은 10 이고, 9는 10 보다 작기 때문에 왼쪽 서브 트리로 이동한다.
탐색하고자 하는 9를 찾았다.

해당 과정을 수행하는 코드는 아래와 같다.
BTREE* CBTree::SearchBTree(BTREE* pNode, int iData, BTREE* pParentNode)
{
if (NULL == pNode || NULL == pParentNode)
return NULL;
BTREE* pRetNode = NULL;
int iIndex = 0;
pRetNode = pNode;
// tree 탐색 시작
while (pRetNode)
{
// node가 가질 수 있는 데이터 최대 개수 만큼 탐색
for (iIndex = 0; iIndex < BTREE_MAX_KEY; iIndex++)
{
if (iData < pRetNode->iData[iIndex])
break;
else if (iData == pRetNode->iData[iIndex])
return pRetNode;
}
// 해당 노드의 자식 노드 탐색을 위한 과정
pParentNode = pRetNode;
pRetNode = pRetNode->pChild[iIndex];
}
return pRetNode;
}
B-Tree 삽입
'Data Structure > Tree' 카테고리의 다른 글
| [Data Structure] B-Tree 기초 (4) | 2022.09.11 |
|---|---|
| [Data Structure] Tree 이진 탐색 트리(BST) 구현 (2) | 2022.09.05 |
| [Data Structure] Tree 전위, 중위, 후위 순회 (2) | 2022.09.05 |
| [Data Structure] Tree 기본 (2) | 2022.08.27 |